Prediction of Mean Summer Temperatures in Washington State

Recent work at OWSC has led us to ponder just how predictable summer mean temperatures are in Washington state. We constructed a simple model for a workshop on El Nino-Southern Oscillation (ENSO) and the seasonal weather of the western US with this question in mind. The model is based on NE Pacific ocean conditions, which have been of special interest and importance due to the marine heat wave in the NE Pacific of 2014-16.

There is a body of existing research showing that ENSO provides much of the current predictability in the seasonal weather of the Pacific Northwest. Most of this work has focused on the winter season, and we thought it might be interesting to explore the connections between our weather and the state of the tropical Pacific in summer. Previous work based on atmospheric model experiments has shown that regional atmospheric pressure/circulation patterns are relatively insensitive to prescribed sea surface temperature (SST) anomalies in the NE Pacific. On the other hand, the atmospheric boundary layer of about a kilometer in depth is typically in quasi- equilibrium with the SST on length scales of hundreds of kilometers. Because the prevailing level flow into WA generally includes a component from the west, there is the potential for our surface air temperature, and humidity, to be systematically impacted by the regional SST. Moreover, because the ocean has a relatively long “memory” due to its thermal inertia, it would seem to provide some predictability, as explored here.

We have evaluated statistical relationships between observed seasonal temperatures and indices for ENSO (specifically the NINO3.4 index) and the regional SST (averaged over a box extending from 40 to 50°N and 140 to 125°W). We used the framework of a Generalized Additive Model (GAM), which is similar to the technique of multiple linear regression, with the additional less-restrictive feature of allowing nonlinear relationships between predictors and the predictand, i.e., the variable of interest (Hastie and Tibshirani 1990). We constructed and evaluated a variety of GAMs, and also conducted tests in which the early portion of the record is used for training, and the latter portion is used for validation and prediction. The atmospheric circulation anomalies responsible for seasonal weather signals also impact ocean conditions, so here we focus on the regional SST in the month of May prior to the forecast period.

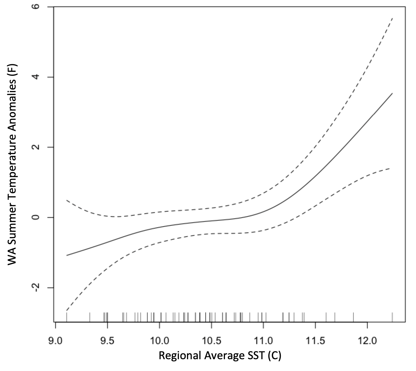
The results from a GAM predicting WA summer (June-August) temperatures using summer values of NINO3.4 and May values of regional SST are summarized here. For the period of 1949 through 2016, NINO3.4 is only marginally linked to summer temperatures, but the regional SST is related with a high degree of statistical significance (confidence level > 99.9%). The two predictors in combination account for about 27% of the variance in WA summer temperatures. The model performs better for the west side of the state (e.g., explains 40% of the variance in summer temperatures in the Puget Sound lowlands climate division). The functional forms in the relationships are illustrated in Figures 1 and 2 for NINO3.4 and the regional SST, respectively. A weak linear fit, with substantial uncertainty in the magnitude of the slope, was found for NINO3.4 with higher values of this index corresponding with warmer than normal summer WA temperatures. The fit for the regional SST was not linear, with higher SSTs corresponding with considerably higher summer temperatures. Note that there are greater spreads in the fit (as indicated by the dashed lines) for extreme values of this predictor, which makes sense since these years are relatively few in number.

Figure 1: Fitted relationship between NINO3.4 index (x-axis) and WA state mean summer (JJA) temperature anomalies (y-axis; deg. F) based on a GAM using data from 1949 through 2016. The tick marks on the x-axis indicate the individual values of the NINO3.4 index in the years used in the model fit. The dashed lines indicate 95% confidence limits.
Figure 2: As in Fig. 1, but for the relationship between the May regional average SST (x-axis; deg. C) and WA state mean summer (JJA) temperature anomalies (y-axis; deg. F)

We also present the results of using a GAM based on the first two-thirds of the period (1949-1992) as a training data set, to make predictions for the last one-third of the period (1993-2016). The version used here incorporates year as a predictor, to account for long-term temperature trends. The predictions with validating observations are plotted in Figure 3. The simple GAM predicts year-to-year variations in statewide summer temperatures that tend to correspond with, but not match, the observations. The model tends to predict temperatures that are too low during the hotter summers. An interesting exception is the record hot summer of 2015; the model was actually too warm for that year in association with a NINO3.4 value of 1.2° and an average SST of 12.2°C, the latter being well above any other year in the period considered. The prediction from the model for 2017 is also indicated in Figure 3. Given that statewide temperatures were above normal during June and July, and the absolutely torrid start to the month of August, we strongly suspect that observed temperatures for the summer of 2017 will be much higher than predicted. The discrepancy illustrates the challenge of seasonal weather forecasts and in particular their intrinsic limitations.

Figure 3: Predicted mean summer (JJA) air temperatures in WA (red trace) for the years of 1993-2016 from a GAM using the summer (JJA) NINO3.4 and the May regional average SST as predictors, and a training data set of the years of 1949-1992. A prediction for 2017 (red star) is included based on the observed SST in May 2017 and a forecast of 0.4 for the NINO3.4 index. The green trace shows the observed mean JJA air temperatures.

References

Hastie, T., and R. Tibshiran (1990): Generalized Additive Models. Chapman and Hall, London.